合作客戶/
拜耳公司 |
同濟大學 |
聯合大學 |
美國保潔 |
美國強生 |
瑞士羅氏 |
相關新聞Info
-
> 如何清理水中的油污?
> 不同成分、溫度條件下鋼液的表面張力計算方法
> 水面上單分子層膜通過磷脂光控開關實現可逆光學控制——結果與討論
> 基于表面張力儀等研究常用農藥和表面活性劑在辣椒葉面的潤濕能力——材料與方法
> 射頻等離子分離提純的高成本高,如何解決
> 超低界面張力環保型高溫高鹽油藏的驅油表面活性劑配方比例及制備(二)
> 不同溫度下純有機物液體表面張力估算方法及關聯方程(一)
> 3種典型清水劑對不同原油組分界面穩定性、油滴聚并行為的影響(一)
> 不同水淹程度的油藏環境下微生物提高采收率、采出液的表面張力與界面張力的變化(二)
> GA、WPI和T80復合乳液體系的脂肪消化動力學曲線、界面張力變化(三)
推薦新聞Info
-
> 超低界面張力環保型高溫高鹽油藏的驅油表面活性劑配方比例及制備(二)
> 超低界面張力環保型高溫高鹽油藏的驅油表面活性劑配方比例及制備(一)
> 表面張力和接觸角的關系|寶玉石接觸角的測量結果和表面張力計算方法(三)
> 表面張力和接觸角的關系|寶玉石接觸角的測量結果和表面張力計算方法(二)
> 表面張力和接觸角的關系|寶玉石接觸角的測量結果和表面張力計算方法(一)
> 表面張力儀系統測定:溫度范圍內甲基九氟丁醚的液相密度與表面張力
> 一套低溫、高壓懸滴法表面張力實驗測量系統實踐效果(三)
> 一套低溫、高壓懸滴法表面張力實驗測量系統實踐效果(二)
> 一套低溫、高壓懸滴法表面張力實驗測量系統實踐效果(一)
> 不同溫度下純有機物液體表面張力估算方法及關聯方程(二)
測量液體表面張力懸滴法介紹
來源:coco5517 瀏覽 1529 次 發布時間:2022-10-08
懸滴法
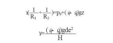
懸滴法是根據在水平面上自然形成的液滴形狀計算表面張力。在一定平面上,液滴形狀與液體表面張力和密度有直接關系。由Laplace公式,描述在任意的一點P曲面內外壓差為:
式中R1,R2為液滴的主曲率半徑;z為以液滴頂點O為原點,液滴表面上P的垂直坐標;P0為頂點O處的靜壓力。
定義:S=ds/de
式中de為懸滴的最大直徑,ds為離頂點距離為de處懸滴截面的直徑
式中b為液滴頂點O處的曲率半徑。此式最早是由Andreas,Hauser和Tucker[15]提出,若相對應與懸滴的S值得到的1/H為已知,即可求出表(界)面張力。應用Bashforth-Adams法,即可算出作為S的函數的1/H值。因為可采用定期攝影或測量ds/de數值隨時間的變化,懸滴法可方便地用于測定表(界)面張力。





