合作客戶/
拜耳公司 |
同濟大學 |
聯合大學 |
美國保潔 |
美國強生 |
瑞士羅氏 |
相關新聞Info
推薦新聞Info
-
> 超低界面張力環保型高溫高鹽油藏的驅油表面活性劑配方比例及制備(二)
> 超低界面張力環保型高溫高鹽油藏的驅油表面活性劑配方比例及制備(一)
> 表面張力和接觸角的關系|寶玉石接觸角的測量結果和表面張力計算方法(三)
> 表面張力和接觸角的關系|寶玉石接觸角的測量結果和表面張力計算方法(二)
> 表面張力和接觸角的關系|寶玉石接觸角的測量結果和表面張力計算方法(一)
> 表面張力儀系統測定:溫度范圍內甲基九氟丁醚的液相密度與表面張力
> 一套低溫、高壓懸滴法表面張力實驗測量系統實踐效果(三)
> 一套低溫、高壓懸滴法表面張力實驗測量系統實踐效果(二)
> 一套低溫、高壓懸滴法表面張力實驗測量系統實踐效果(一)
> 不同溫度下純有機物液體表面張力估算方法及關聯方程(二)
表面與界面物理力學
來源:科技千里眼 瀏覽 2981 次 發布時間:2022-06-20
今天咱們一同進入一個新的領域——【表面與界面物理力學】。
那么就從我們最常聽說的名詞——“表面張力”入手吧。
先來點準備知識——
表面與界面
表面(surface)是指【凝聚相】與【氣體/真空】之間的分界面。
界面(interface)是指【凝聚相】與【凝聚相】之間的分界面。
凝聚相,可以理解為“固相+液相”。
表面能——形成表面的代價
分子在材料的本體(bulk)中,四面八方都有其它的小伙伴,形成均勻的作用力和距離。
但是,表面的出現,使得一些分子變得不同,它們的外側是氣體或真空,幾乎沒有作用力,這使得表面上的分子“很不安分”,產生了額外的能量——表面能。
如何理解“表面能”呢?
比如,你把一塊巧克力掰成了兩半,巧克力發生的變化僅僅是增加了兩個表面,而你掰的過程必須消耗掉能量E,因此每個表面的表面能就是E/2。
所以,表面能代表的是巧克力與空氣的差異;同理,所謂“界面能”,就是表征界面兩側兩種物質的差異,差異越大,界面能越大。
表面張力——減少表面能的努力
自然界的大道之一,就是“最小能量原理”。一個液滴,會自發地尋找能量最小的形狀,這里的能量就是表面能,而在表面上的作用力就是表面張力。
太空無重力下的汞滴,會自發形成一顆完美的圓球;空中漂浮的肥皂泡,也會自發地形成一個個球形薄膜——
因為,在相同體積的物體中,球的表面積是最小的,物質會自發地趨向于表面積最小。
這是因為,表面能正比于面積。
下面咱們展開來看一看這其中的關系。
單位中蘊含重要原理
表面張力的單位為【N/m】,經過換算,我們發現【N/m】=【J/m^2】。
從這個等價單位可以看出,表面張力其實是“單位面積上的能量”。即:
表面張力=表面能密度
這樣,我們就更容易理解公式——
表面能[J]=表面張力[N/m]×面積[m^2]
其實就是——
表面能[J]=表面能密度[J/m^2]×面積[m^2]
以上其實是“量綱分析”的一種典型應用,為了簡單,采用“單位”的方式敘述,其實道理是一樣的。
拓展:壓強就是壓力能密度
由以上分析,我們可以想到,壓強的單位——
【Pa】=【N/m^2】=【J/m^3】
是否有所啟發?
是的。壓強,其實就是壓力能(儲存于三維體)的密度。
對應的,表面張力,是表面能(儲存于二維面)的密度。
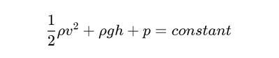
還記得流體力學中的"靜力學方程"嗎——
其實就是單位體積的能量守恒——動能+重力勢能+壓力能為常量。
再拓展:表面張力是強度量
物理量分兩類:強度量(intensive quantity)與廣延量(extensive quantity)。
強度量是指與體系質量無關的量,如應力、壓強、密度、溫度、比熱、表面能密度(表面張力)等。
廣延量就是與體系質量成正比的量,如體積、內能、面積、質量、熵、電量、表面能等。
換種思考,強度量不具有可加性,廣延量具有可加性。
比如說,溫度加溫度是什么?沒有物理意義呀。
兩者的關系是——
廣延量=強度量×體系的量
需要提醒的是,我們已經知道——
表面能密度[J/m^2]=表面張力[N/m]
表面能[J]=表面張力[N/m]×面積[m^2]
不過,大量的中文文獻和書籍中,經常用“表面能”來代替“表面能密度”,閱讀時需要注意。
壓強與表面張力的關系
先做一個小實驗:咱們拿一個"鐵絲圓環",從肥皂水里蘸一下,取出后會形成一個非常平整的薄膜。(這是因為肥皂膜自發地追求表面/表面能最小)
這時,咱們在一側吹氣(相當于施加了一個壓強),平整的薄膜就發生“彎曲”——
事實上,彎曲的表面與壓強最終達到平衡。
那么,咱們列一下平衡方程吧(假設壓強均勻、薄膜為球面)——關注黑色圓平面:
表面張力×圓周長=壓強×圓面積
從前面的量綱分析中,我們也看到該公式的合理性,寫成單位形式——
[N/m]×[m]=[N/m^2]×[m^2]
公式化簡,得到——
p=2γ/R
這就是標準的球曲面下,壓強與表面張力的關系。
這個公式也是【楊-拉普拉斯方程】的一種簡單的形式。
還有更簡單的形式
楊-拉普拉斯方程還有更簡單的形式,這里需要我們了解一點關于曲率的概論。
中學時我們學過,曲率κ定義為半徑的倒數,即:κ=1/R。
這其實是二維下的特殊情況。
對于三維曲面,曲率等于任意兩個垂直方向上的曲率之和——
顯然,標準球曲面的曲率κ=2/R。
下面不用我說大家也知道如何化簡了——
p=γ·κ
這里的p,可以理解為由于表面的出現,而產生的“附加壓強”,這個壓強的大小與正負,與曲率直接相關。
如下圖,無論是液體中的氣泡,還是氣體中的液滴,只要是球內的部分,壓強就要比球外大,這是由于曲率的正負決定的。
這里科技千里眼奉送一個自己做的仿真計算——液滴在表面張力作用下的變形,我們看到,藍色部分為負曲率,因此壓強為負,而紅色部分為正曲率,因此壓強為正,液體會從正壓強流向負壓強,這也是表面張力影響下流體變形的基本原理。
由公式p=γ·κ想到的
液滴(氣泡)半徑越小,壓強越大,它向周邊溶解氣體的速率就越快;歷經一段時間后,小氣泡會逐漸消失,聚集成大氣泡,這是氣泡的【演變動力學】——
有沒有這種情況,就是液滴(氣泡)半徑無限小,那么,我們是不是創造了一個無限大的壓強呢?
比如,當液滴(氣泡)剛剛形成時,不就是這種情況嗎?
但是,我們也知道,自然界是不會存在無限大的壓強的。這是怎么回事呢?
原來,液滴或氣泡的形成,是需要一個微小的異物(核)的,一般是灰塵;如果水凝聚在灰塵顆粒上,液滴就能夠長大。
對于氣泡來說,也類似,一些碳酸飲料中,氣體的胚胎殘留在瓶壁上的某些位置,這些位置正是極微小的凸凹不平處,它們使得氣泡不斷長大。





