合作客戶/
拜耳公司 |
同濟大學 |
聯合大學 |
美國保潔 |
美國強生 |
瑞士羅氏 |
相關新聞Info
推薦新聞Info
-
> 超低界面張力環保型高溫高鹽油藏的驅油表面活性劑配方比例及制備(二)
> 超低界面張力環保型高溫高鹽油藏的驅油表面活性劑配方比例及制備(一)
> 表面張力和接觸角的關系|寶玉石接觸角的測量結果和表面張力計算方法(三)
> 表面張力和接觸角的關系|寶玉石接觸角的測量結果和表面張力計算方法(二)
> 表面張力和接觸角的關系|寶玉石接觸角的測量結果和表面張力計算方法(一)
> 表面張力儀系統測定:溫度范圍內甲基九氟丁醚的液相密度與表面張力
> 一套低溫、高壓懸滴法表面張力實驗測量系統實踐效果(三)
> 一套低溫、高壓懸滴法表面張力實驗測量系統實踐效果(二)
> 一套低溫、高壓懸滴法表面張力實驗測量系統實踐效果(一)
> 不同溫度下純有機物液體表面張力估算方法及關聯方程(二)
Delta-8臨界膠束濃度對于藥物在生物體內的增溶性的重要性研究——結果和討論
來源:上海謂載 瀏覽 2479 次 發布時間:2021-12-21
結果
在FaSSIF和水性緩沖液中的溶解度評估和物理化學特性。選擇了一組21種上市藥物和30種來自不同研究項目的羅氏化合物,因為它們在pH值為6.5的水性緩沖液和FaSSIF介質中的溶解度不同。作為標準做法,所有溶解度和表面壓力剖面測量均在室溫下進行,而不是在37°C下進行。盡管溫度可能會影響藥物溶解度、脂質聚集體分配和溶解,據報道,牛磺膽酸膠束的聚集數對溫度變化相對不敏感。19該化合物組包含不同的化學性質、廣泛的親脂性,并涵蓋不同類型和程度的電荷狀態,包括中性、酸性、堿性和兩性離子分子。表1列出了主要理化性質和溶解度數據。
表1。51種化合物的理化性質和溶解度數據;除非另有說明,否則數據按實驗部分所述生成
表1。繼續的
溶解度增強(SE)的范圍從0.6倍到429倍,提供了廣泛的動態觀察范圍。如圖1所示,以及先前工作所預期的,8在FaSSIF中測得的藥物溶解度接近或高于在水性緩沖液中獲得的溶解度,導致SE值接近或高于1。此外,對于水溶性較低的化合物,FaSSIF培養基中的SE通常較高,這一較低端主要由中性和親脂性化合物代表。在水溶性高于100μg/mL的化合物中,觀察到在水和FaSSIF介質中的可比溶解度。
圖1。測定了51種化合物在磷酸鹽和FaSSIF緩沖液中pH值為6.5時的平衡溶解度。化合物被歸類為酸(■),基地(▲),中性(×)和兩性離子(●).線對應于單位線。低于檢測限的值在檢測限處繪制。
圖2顯示了SE與在pH 6.5(logD)下測定或外推的辛醇分配系數的函數關系圖,在logD和溶解度增強對數之間觀察到正趨勢(r2=0.50)。具有logD的化合物范圍為?3到2顯示沒有硒,而具有高親脂性(logD>4)的化合物顯示出持續顯著的硒增加(>10倍)。對于親脂性值介于2和4之間的化合物,觀察到親脂性與對數SE之間的相關性較差(r2=0.24),這表明僅對數D不足以解釋和預測該親脂性范圍內化合物的SE(圖5B)。
圖2。在pH值為6.5時,51種化合物的溶解度增強(SE=S_-FaSSIF/S_-水溶液)是辛醇/水分配系數的函數。化合物被歸類為酸(■),基地(▲),中性(×)和兩性離子(●).高于或低于檢測限的值在檢測限處繪制。
表面活性參數的測定。表面活性劑的主要參數由濃度-表面壓力曲線獲得。圖3中描述了代表性化合物的這些參數,表2中總結了完整的數據集。
圖3。(A)化合物29和(B)尼群地平的表面壓力分布的代表性示例。虛線和方程描述了表面張力參數的推導過程。
將表面性質與硒的含量進行比較(圖4)。在測量和推導的不同表面性質中,臨界膠束濃度(CMC)與SE呈顯著負相關(r2=0.79),表明化合物形成膠束的傾向性越高,其在FaSSIF中的增溶程度越高。具有低或無可測量CMC的化合物顯示出接近1的一致SE值。其他表面參數,如界面面積、空氣?與SE相比,水分配系數和兩親性顯示出趨勢,但不如CMC顯著。
討論
低溶解度常常限制口服藥物的吸收。隨著藥物研究項目逐漸向更大、更親油性的化合物轉移,轉化為溶解度更低的實體,這種效應變得越來越重要。20使用腸道生物相關介質(如FeSSIF和FaSSIF)中的溶解度數據以及基于生理學的建模方法,可以更好地預測吸收程度。3眾所周知,這些介質有助于增強化合物的增溶作用;然而,這種增強溶解度的分子驅動因素仍然知之甚少。
考慮到腸道生物相關介質易于形成超分子排列,如脂質體和膠束,6這導致我們假設化合物的表面活性劑性質可能與其在此類環境中的溶解能力有關。研究了生物相關培養基的表面性質;21然而,很少關注增溶化合物的固有表面活性劑性質。事實上,在膠束體系中的增溶作用可能是通過化合物與介質中的膠束結合來實現的。因此,化合物形成膠束的趨勢可以作為確定增溶程度的相關屬性。
根據這一工作假設,我們對一組不同的公共和專利化合物的表面活性劑性質進行了表征,目的是將這些表面活性參數與FaSSIF中相對于水介質的溶解度增強程度相關聯。根據經典的吉布斯空氣熱力學理論,通過測量表面活性劑的主要性質對化合物進行了表征?水界面。結果表明,臨界膠束濃度(CMC)是影響最大的參數,與FaSSIF中觀察到的溶解度增強(SE)密切相關。其他表面活性劑性質,如界面面積(as)、空氣?水分配系數(Kaw)和兩親性(ΔΔGam)與SE相比也顯示出一些趨勢;然而,觀察到的相關性不如CMC那么清楚。此外,由于as、Kaw和ΔΔGam部分依賴于CMC,因此觀察到的將其與SE關聯的趨勢可能與CMC的影響有關。
這些結果表明,具有高傾向于自身形成膠束系統(低CMC)的化合物通過結合FaSSIF膠體排列表現出良好的溶解能力。相反,具有高或無可觀察CMC(即不形成膠束)的化合物顯示出可忽略的SE。這表明,將化合物整合到FaSSIF膠束結構中是增溶的先決條件,并且僅用logD表達的與非極性膠束/囊泡結構域的疏水相互作用不能解釋SE。后一點的例子可以是化合物22(logd2.9;se0.6;CMC>10000μM)或甲芬那酸(logd3.0;se2.4;CMC>10000);盡管具有很高的親脂性,但沒有或限制硒的化合物,可能與它們不能在膠束中締合有關。
以前曾使用一組參考化合物觀察到,電離酸性化合物的硒通常低于電離堿。結果表明,由于與帶負電荷的FaSSIF介質組分之間的靜電排斥作用,離子酸在FaSSIF中的溶解度沒有增加。8在目前的研究中,對于幾個涵蓋更廣泛化學空間的專利化合物,我們沒有發現離子化酸或堿之間硒的任何顯著溶解度差異,這表明靜電相互作用可能被其他因素掩蓋或覆蓋,如化合物的構象和親油性。
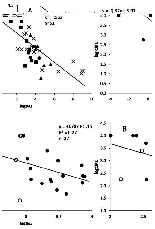
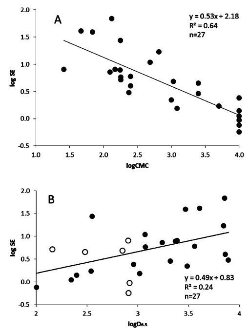
在以前的研究中,增溶程度與該化合物的親脂性有關。7,22尤其是,Mithani7表明存在膽鹽時的增溶率直接取決于親脂性。盡管Mithani使用的術語增溶率并不完全對應于本研究中使用的術語SE,但兩者都直接相關,并且預計取決于親脂性。有趣的是,Mithani的研究報告稱,在禁食條件下,膽汁鹽水平低于CMC時,溶解度的增加非常有限,隨后在喂食條件下,溶解度顯著增加,尤其是對于親脂化合物。類似地,Fagerberg等人22顯示,隨著化合物親脂性的增加,增溶率增加。在我們的工作中,覆蓋了更大的化合物范圍,logD與溶解度增強呈正相關。然而,我們的研究表明,CMC與SE的相關性好于logD(圖5和圖6)。特別是在檢查藥物中經常遇到的親脂性范圍內的化合物時(logD介于2和4之間),很明顯logD不能正確預測SE,因此不能用作SE優化目的的穩健預測因子,而此親脂性范圍內的CMC提供了SE的良好描述(圖5)。值得注意的是,CMC和logD似乎正相關(圖6),表明SE和logD之間觀察到的相關性可能反映了logD如何影響化合物的CMC。
圖5。根據對數CMC(μM,A)和pH 6.5下的辛醇分配系數(logD6.5;B)繪制溶解度增強曲線。數據集僅限于顯示logD6的化合物。5個在2到4之間。圖B中的開放圓對應于從文獻檢索、預測或從pH值為7.4的logD推斷的logD值。高于或低于檢測限的值在檢測限處繪制。

圖6。對于分類為酸的完整化合物組(A),根據pH 6.5(logD6.5)下的辛醇分配系數繪制對數CMC(μM)(■),基地(▲),中性離子(x)和兩性離子(?),以及logd2和logd4(B)范圍內的化合物。圖B中的開放圓對應于從文獻檢索、預測或從pH值為7.4的logD推斷的logD值。高于或低于檢測限的值在檢測限處繪制。
在藥物研究項目中的化合物優化過程中,不同的化合物屬性被調整,以確定提供最佳臨床PK/PD和最佳安全性的可能性最高的分子。其中,溶解度是常規監測和優化的參數之一。通常,增加溶解度的選擇受到生物活性所需的結構和性能要求的限制。在水溶性受到強烈限制的情況下,早期了解可提高模擬腸液中溶解度的分子特征有助于設計具有改進溶解度的分子。盡管提高SE的最直接方法是在溶解度分析(包括生物相關介質)中測試化合物,但確定或預測CMC以檢驗假設并指導藥物化學的合成工作可能非常有用。此外,CMC(測量或預測)可能是一個有價值的描述符,用于建立新的硅模型,用于預測生物相關介質中的溶解度增強。





