合作客戶/
拜耳公司 |
同濟大學 |
聯合大學 |
美國保潔 |
美國強生 |
瑞士羅氏 |
相關新聞Info
-
> 海上抗超高溫低滲透儲層鉆開液配方設計及應用效果(一)
> 鏈烷烴的表面張力與內壓、比例、溫度的關系
> β-乳球蛋白質納米纖維制備及界面吸附和界面流變行為分析——摘要、材料與方法
> 咪唑類離子液體對不同煤塵潤濕性能的影響規律(上)
> 復合劑對不同基礎油界面張力的影響差異
> 不同兩性聚合物界面張力、溶解性能及抗鹽性檢測結果
> 測量表面張力/界面張力的儀器有哪些?怎么選
> 采用殼聚糖-三聚磷酸酯-百里香納米顆粒經熱噴墨打印而成的新型活性包裝材料——材料和方法
> ?達因值(表面張力系數)對材料表面性能的影響
> 甜菜堿型兩性表面活性劑與有機膦酸鹽防垢復配,有效降低樁西原油體系油-水動態界面張力
推薦新聞Info
-
> 超低界面張力環保型高溫高鹽油藏的驅油表面活性劑配方比例及制備(二)
> 超低界面張力環保型高溫高鹽油藏的驅油表面活性劑配方比例及制備(一)
> 表面張力和接觸角的關系|寶玉石接觸角的測量結果和表面張力計算方法(三)
> 表面張力和接觸角的關系|寶玉石接觸角的測量結果和表面張力計算方法(二)
> 表面張力和接觸角的關系|寶玉石接觸角的測量結果和表面張力計算方法(一)
> 表面張力儀系統測定:溫度范圍內甲基九氟丁醚的液相密度與表面張力
> 一套低溫、高壓懸滴法表面張力實驗測量系統實踐效果(三)
> 一套低溫、高壓懸滴法表面張力實驗測量系統實踐效果(二)
> 一套低溫、高壓懸滴法表面張力實驗測量系統實踐效果(一)
> 不同溫度下純有機物液體表面張力估算方法及關聯方程(二)
甜菜堿表面活性劑TAC制備方法及表面張力測定(一)
來源:精細化工 瀏覽 652 次 發布時間:2025-05-26
摘要
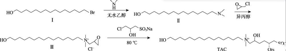
以15-溴-1-十五醇、二甲胺水溶液、環氧氯丙烷和3-氯-2-羥基丙磺酸鈉為原料,通過季銨化反應和開環反應制備了甜菜堿表面活性劑(TAC),采用FTIR、HNMR、CNMR、MS對其結構進行了表征。將TAC添加至稠化酸(SY)中制備了SY-x-TAC(x為TAC添加量,以SY質量的計,取值為0.2%~1.0%,下同)。通過表面張力儀、電導率儀、黏度計、流變儀、SEM對其進行了測試,考察了TAC添加量對SY-x-TAC耐溫性和抗剪切性能的影響。結果表明,298.15 K下,TAC最低臨界膠束濃度(CMC)為0.116 mmol/L。SY-0.4%-TAC的耐溫、耐剪切性能顯著提高,升溫至180℃時其溶液表觀黏度和繼續剪切1 h后溶液的最終表觀黏度分別為80.85和75.48 mPa·s,比SY(48.01和42.52 mPa·s)分別提高了68.40%和77.52%。在應力掃描范圍內,SY-0.4%-TAC和SY-0.6%-TAC存在明顯的線性黏彈區,表現為彈性體,體系空間結構為更緊密的網狀結構。SY的疏水基團與TAC的疏水尾端相互作用,形成混合膠束。疏水基團被包裹在膠束內部,TAC的親水基團代替SY的親水鏈,實現分子間締合,表現出良好的協同效應。
目前,中國致力于深井、超深井和低滲、超低滲致密油氣方向的大規??碧介_發。酸化壓裂是提高油氣井產量的有效方法之一。而原針對160℃以下儲層的交聯酸體系已不能滿足超過180℃的高溫地層,因此,交聯酸體系的應用仍需要深入探究。
交聯劑、稠化劑和緩蝕劑是交聯酸體系的3個重要組成部分。交聯劑的加入不僅可以降低稠化劑的用量,還可提高稠化酸的彈性及黏度,減少對地層的傷害。因此,交聯劑種類的選擇至關重要。金屬交聯劑是使用較多的傳統交聯劑,它通過配位交聯增加分子間剛性,進而影響耐溫性能。但是金屬交聯劑易受pH影響,含有的金屬元素對地層污染較大。表面活性劑作為交聯劑,通過與聚合物分子間形成化學共價鍵實現物理交聯,這種交聯具有自修復能力,因此耐溫性能得到改善,并可大幅降低對地層的污染。在高溫油藏環境下,疏水締合聚合物由于同時具備良好的耐溫抗鹽以及抗剪切性能,而被廣泛研究和應用。甜菜堿表面活性劑的耐溫抗鹽性能、溶解性及穩定性良好,是一種優良的驅油劑,且長鏈的甜菜堿表面活性劑可形成蠕蟲狀膠束,促進分子間締合,增加締合連接數,從而增大黏度,增強稠化酸耐溫、耐剪切性能。
本文擬以15-溴-1-十五醇、二甲胺水溶液、環氧氯丙烷、3-氯-2-羥基丙磺酸鈉為原料,通過季銨化反應和開環反應制備了甜菜堿表面活性劑(TAC)。通過聚合物和表面活性劑分子的疏水單元組成的混合膠束與聚合物主鏈發生物理交聯,從而產生擴展的聚合物網絡,以期改善稠化酸的耐溫、耐剪切性能,提高180℃高溫地層的油氣采收率。
1實驗部分
1.1試劑與儀器
濃鹽酸(質量分數36%)、15-溴-1-十五醇、二甲胺水溶液(質量分數40%)、無水乙醇、環氧氯丙烷、3-氯-2-羥基丙磺酸鈉、異丙醇、NaHCO 3、氯仿,AR,國藥集團化學試劑有限公司;酸液稠化劑SY-2,自制。
IRAffinity-1型傅里葉變換紅外光譜儀(FTIR),日本Shimadzu公司;AVANCE NEO 600 MHz型核磁共振波譜儀(NMR),德國Bruker公司;LN11-ZNN-D6B型六速黏度計,北京海富達科技有限公司;SEM 3200型掃描電子顯微鏡(SEM),國儀量子科技有限公司;HAKKE MARSⅣ型流變儀,美國Thermo Fisher Scientific公司;Delta-8全自動高通量表面張力儀,芬蘭Kibron公司;RT1906A型電導率儀,北京磐研科技有限公司。





