合作客戶/
拜耳公司 |
同濟大學 |
聯合大學 |
美國保潔 |
美國強生 |
瑞士羅氏 |
相關新聞Info
-
> 6種短鏈醇溶液分子結構對表面張力和表面吸附性能的影響
> 利用溶液的張力,設計一種用于精密分區腐蝕又不接觸晶圓表面的隔離網筒
> 過硫酸鉀、K2S2O8對壓裂液破膠性能與表面張力的影響——結果與討論、結論
> 振蕩頻率、濃度、油相、界面張力對陰離子表面活性劑HABS和PS界面模量的影響(一)
> 助劑臨界膠束濃度對芒果細菌性角斑病防治藥劑表面張力的影響(三)
> 耐擦刮無膠消光膜制備方法、高表面張力與收解卷順暢性的平衡(一)
> 納米沸石咪唑酯骨架ZIF-8顆粒的油水界面張力和接觸角測定及巖心驅替實驗——摘要、材料與方法
> 浮選藥劑的性能、組合用藥機理及協同效應的影響因素(二)
> 改性環氧樹脂乳液型碳纖維上漿劑制備、表面張力、黏度等性能測試(三)
> 最大氣泡壓力法表面張力的測量原理
推薦新聞Info
-
> 超低界面張力環保型高溫高鹽油藏的驅油表面活性劑配方比例及制備(二)
> 超低界面張力環保型高溫高鹽油藏的驅油表面活性劑配方比例及制備(一)
> 表面張力和接觸角的關系|寶玉石接觸角的測量結果和表面張力計算方法(三)
> 表面張力和接觸角的關系|寶玉石接觸角的測量結果和表面張力計算方法(二)
> 表面張力和接觸角的關系|寶玉石接觸角的測量結果和表面張力計算方法(一)
> 表面張力儀系統測定:溫度范圍內甲基九氟丁醚的液相密度與表面張力
> 一套低溫、高壓懸滴法表面張力實驗測量系統實踐效果(三)
> 一套低溫、高壓懸滴法表面張力實驗測量系統實踐效果(二)
> 一套低溫、高壓懸滴法表面張力實驗測量系統實踐效果(一)
> 不同溫度下純有機物液體表面張力估算方法及關聯方程(二)
不同濃度6∶2氟調磺酸的表面張力測定儀器及結果(一)
來源:巖礦測試 瀏覽 669 次 發布時間:2025-05-12
全氟和多氟烷基物質(PFAS)具有親水性功能團和疏水性烷基鏈,展現出優良的表面活性、熱穩定性以及疏水疏油性,被廣泛應用于表面活性劑、消防泡沫、農藥化學品和紡織品等多個領域。然而,大部分PFAS的生物降解性較低,可以在環境中持久存在,且其具有生物積累性,可能引發包括免疫毒性、遺傳毒性和致癌性在內的多種毒性效應。全氟烷基酸(PFAA)是研究最為廣泛的一類PFAS,已在環境介質和生物體內被頻繁檢出,且其中廣泛使用的全氟辛烷磺酸(PFOS)和全氟辛酸(PFOA)分別于2009年和2019年作為新興持久性有機污染物被列入《斯德哥爾摩公約》,并被禁止或嚴格限制使用。因此,部分PFAA前體物作為PFOS的替代物被大量生產和使用,近些年被眾多學者所關注,如6∶2氟調磺胺甜菜堿(6:2 FTAB)和6∶2氟調磺酸等。已有研究表明,PFAA前體物能夠通過非生物或生物途徑轉化為半衰期更長、毒性更大的較穩定的PFAA,已成為地下水PFAS大規模污染的主要間接來源。
6∶2氟調磺酸不僅是水成膜泡沫(AFFF)配方的直接添加組分,同時也是AFFF中其他PFAS,如6∶2氟調巰基烷基胺磺酸(6∶2 FtTAoS)和6∶2 FTAB在環境中的主要降解轉化產物。該物質表現出持久性與生態毒性,且在環境中廣泛分布,土壤作為其重要儲庫,能夠長期向地表水和地下水釋放污染物。盡管在特定環境條件下,6∶2氟調磺酸可能發生部分降解,但其整體的環境持久性仍導致持續污染風險。在消防訓練場地、生產基地及機場附近的土壤和地下水中,均已檢出6∶2氟調磺酸,在黃土高原的地下水中,主要檢測到的PFAA前體物也為6∶2氟調磺酸。
然而,目前尚未有對6∶2氟調磺酸明確的環境控制標準,其污染源亦未得到有效阻斷,對地下環境的影響范圍持續擴大。因此,從保障飲用水安全和維護生態可持續性的角度出發,亟需對6∶2氟調磺酸的環境行為及其在包氣帶中的遷移規律進行深入的研究。目前,針對PFAA前體物的研究主要集中于其分析方法的開發、總量確定、空間分布特征、種類識別以及在多孔介質上的吸附和生物轉化等方面,然而大多數研究仍處于初步探索階段,關于其環境行為的系統性研究相對較缺乏。已有研究指出,多孔介質的有機質含量、顆粒粒徑和含水率等因素顯著影響傳統PFAS的吸附和遷移特性。考慮到土壤作為環境中最重要的多孔介質體系之一,深入研究土壤理化性質對6∶2氟調磺酸遷移行為的調控機制顯得尤為重要。這一認識對于準確預測其環境歸趨及生態風險具有關鍵意義。
本研究旨在闡明6∶2氟調磺酸在土壤多相體系中的界面行為及影響因素。通過表面張力測定量化其表面活性,結合飽和條件下的混相驅替實驗解析固-水界面吸附特征,并利用非飽和條件下的柱實驗揭示氣-水界面吸附對6∶2氟調磺酸滯留的關鍵作用。土壤樣品采自中國山東省青島市某農田的土壤剖面,自然風干后經干篩法分級為40~50目和50~60目兩種粒徑組分,在飽和及非飽和條件下對比其遷移特征,明確土壤顆粒粒徑、有機質含量和含水率對6∶2氟調磺酸遷移的影響,為科學描述6∶2氟調磺酸在土壤中的歸趨、評估其環境風險及制定污染控制策略提供理論依據。
1.實驗部分
1.1標準溶液和主要試劑
6∶2氟調磺酸(純度98%,CAS#27619-97-2)購自Macklin公司(中國),以0.01mol/L氯化鈉溶液為溶劑稀釋至目標濃度。作為實驗目標污染物,用于研究其在特定條件下的遷移行為。
五氟苯甲酸(純度98%,CAS#602-94-8)標準品同樣由Macklin公司(中國)提供,在混相驅替柱實驗中的目標濃度為120mg/L,以0.01mol/L氯化鈉溶液為溶劑進行配制。作為所有柱實驗的非反應性示蹤劑(NRT),用于評估平流和分散過程對遷移的影響,排除化學反應對遷移影響的干擾。
0.01mol/L氯化鈉溶液由超純水作為溶劑進行配制,作為6∶2氟調磺酸和五氟苯甲酸的統一溶劑,確保離子強度與背景電解質濃度的一致性,減少實驗變量,避免雜質干擾目標污染物的遷移與反應研究。
在受AFFF影響的地點以及附近的陸地和水生生態系統中,廣泛檢測到6∶2氟調磺酸,例如美國佛羅里達州廷德爾空軍基地的地下水樣品中,氟調磺酸總濃度范圍為1100~14600μg/L,其中6∶2氟調磺酸占99%。在受污染的土壤中,6∶2氟調磺酸的濃度最高可達2101μg/kg。結果表明,6∶2氟調磺酸在土壤和地下水中的濃度可達100μg/kg和100μg/L以上。本次柱實驗中使用的6∶2氟調磺酸輸入濃度為100μg/L,符合現場觀測的濃度范圍。
1.2實驗介質
本研究選用的兩種多孔介質分別為QD1(表層20~40cm土壤)和QD2(地下50~100cm深層土壤),均采自青島市嶗山區某農田。經過自然風干后,將其篩分為40~50目和50~60目。實驗選用土壤中的金屬氧化物含量均較低,主要差異為有機質含量。土壤樣品的性質見表1。
表1土壤樣品性質
1.3表面張力測試
測定不同濃度6∶2氟調磺酸的表面張力,濃度為:0、0.001、0.01、0.1、0.5、1、5、10、20、50、80、100mg/L。控制樣品溫度為23±0.3℃左右,每組進行多次平行實驗,直到獲得三次及以上相近結果(偏差小于0.7%)。
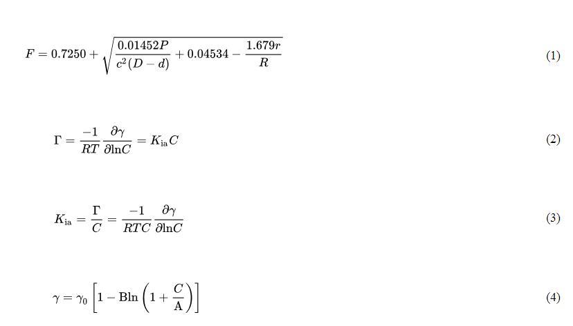
實際表面張力(γ)由儀器表面張力讀數(P)、校正因子(F)和實驗相關常數相乘得到。校正因子計算如公式(1)所示;氣-水界面吸附系數通過Gibbs吸附等溫方程得到,見公式(2)和公式(3);將Szyszkowski方程應用于表面張力數據,見公式(4),該方程提供了一種計算數值的統一方法。
式中:F為校正因子;P為刻度盤表面張力示數(dyn/cm);c為鉑金圓環周長(cm);D為下層液體密度,即6:2氟調磺酸溶液密度(g/cm3);d為界面上層密度,即空氣密度(g/cm3);r為鉑金絲半徑(cm);R為鉑金圓環半徑(cm)。Γ為表面過剩(mol/cm3);R為理想氣體常數(erg/mol K);T為開氏溫度(K);γ為實際表面張力(dyn/cm);C為6:2氟調磺酸溶液濃度(mol/cm3);Kia為氣-水界面吸附系數(cm3/cm2)。γ0是6:2氟調磺酸在純水中的表面張力,A和B分別是與特定化合物和相應系列性質有關的變量。采用最優擬合函數求得公式(3)所需的局部-斜率因子。





