合作客戶/
拜耳公司 |
同濟大學 |
聯合大學 |
美國保潔 |
美國強生 |
瑞士羅氏 |
相關新聞Info
-
> 往復振動篩板塔強化低界面張力萃取體系傳質效率(二)
> 泡沫豐富和清潔力好是一回事嗎?
> 裂縫性水封氣藏解封過程中潤濕反轉劑濃度、氣水界面張力變化(三)
> 烷基-β-D-吡喃木糖苷溶解性、表面張力、乳化性能等理化性質研究(四)
> 低總濃度下實現"超低界面張力"與"高黏彈性乳狀液"的雙重突破
> 原油中活性物質與堿作用下對界面張力的影響
> 不同類型的聚醚類非離子破乳劑對PPG-稀釋原油界面膜性質的影響(下)
> 4種油醇烷氧基化物平衡和動態表面張力、潤濕性、泡沫性、乳化性質研究(四)
> 探討一級相變過程中氣泡和液滴臨界半徑的變化規律、演化方向(二)
> 有機農藥光催化降解機理研究進展
推薦新聞Info
-
> 超低界面張力環保型高溫高鹽油藏的驅油表面活性劑配方比例及制備(二)
> 超低界面張力環保型高溫高鹽油藏的驅油表面活性劑配方比例及制備(一)
> 表面張力和接觸角的關系|寶玉石接觸角的測量結果和表面張力計算方法(三)
> 表面張力和接觸角的關系|寶玉石接觸角的測量結果和表面張力計算方法(二)
> 表面張力和接觸角的關系|寶玉石接觸角的測量結果和表面張力計算方法(一)
> 表面張力儀系統測定:溫度范圍內甲基九氟丁醚的液相密度與表面張力
> 一套低溫、高壓懸滴法表面張力實驗測量系統實踐效果(三)
> 一套低溫、高壓懸滴法表面張力實驗測量系統實踐效果(二)
> 一套低溫、高壓懸滴法表面張力實驗測量系統實踐效果(一)
> 不同溫度下純有機物液體表面張力估算方法及關聯方程(二)
裂縫性水封氣藏解封過程中潤濕反轉劑濃度、氣水界面張力變化(二)
來源:天然氣工業 瀏覽 965 次 發布時間:2025-02-07
2裂縫性水封氣藏解封孔隙尺度模擬
在明確儲層物性、潤濕性、水封程度、裂縫壓力對解封壓差影響規律的基礎上,建立裂縫性水封氣藏解封的微觀排水孔隙尺度模型,研究壁面潤濕性、氣水界面張力和裂縫壓力對微觀氣驅排水和解封效率的影響規律,揭示解封過程的微觀排水作用機制。
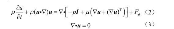
2.1控制方程
在計算流體力學中,控制方程是描述流體運動的基本數學方程。控制方程主要包括動量守恒方程(N—S方程)和質量守恒方程(連續性方程),如下所示[36]:
式中ρ表示流體密度,kg/m3;u表示速度矢量,m/s;p表示壓力,Pa;I表示單位矩陣;μ表示流體的動力黏度,mPa·s;Fst表示氣水兩相的界面張力,N/m。
2.2界面追蹤方程
為更準確地模擬微觀排水過程的氣水兩相流動行為,通過N—S方程和質量守恒方程描述多相流體流動機制,同時耦合關于相變量的界面追蹤法(水平集法、流體體積法、相場法等)追蹤氣水界面。本文采用水平集方法,該方法可以在固定網格上進行數值計算,大幅降低計算復雜度。在氣水兩相流中,引入水平集函數(φ)來定義各自的體積分數,用來描述具有一定厚度的相界面,它是一個從0到1呈梯度變化的值,其中φ=0表示流體為氣相,φ=1表示流體為水相,取φ=0.5的等值面作為相界面。水平集方法相變量的演化方程如式(4)所示,描述了微觀排水過程的氣水界面變化[37-38]。
式描述相界面的移動,其中表示時間的積累項,表示對流項,φ表示水平集函數;γ表示水平集函數重新初始化參數,m/s;ε表示界面厚度參數,m。
計算域內氣水兩相流體的全局密度和動力黏度,以滿足水平集函數的平滑階躍特性[39]:
式中ρw、ρg分別表示水、氣的密度,kg/m3;μw、μg分別是水、氣的黏度,mPa·s。
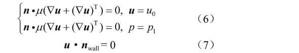
2.3邊界與初始條件
氣水兩相微觀滲流仿真中,提出以下假設條件:初始化狀態下孔隙域內全飽和為水相;左端入口面為氣相,滿足定流邊界條件,右端出口面為定壓邊界條件,入口和出口處的初始狀態方程如式(6)所示;四周為封閉邊界,無流體通過,封閉壁面的邊界條件如式(7)所示[36,40]。
式中n表示固體壁面的單位法向量;u0表示入口處的速度,m/s;p1表示出口處的壓力,Pa,nwall表示封閉邊界的單位法向量。
2.4模型建立
采用物理場數值模擬方法建立水封氣藏解封預測模型,研究氣體驅動排水過程中儲層孔隙內的氣水兩相滲流機制。首先,提出儲層真實孔隙模型建立方法:基于CT掃描技術對巖心柱進行精細成像,通過圖像處理技術獲得其灰度圖像;經過降噪、濾波、二值化等步驟,運用Avizo軟件構建出高精度的3D立體真實孔隙模型;然后,從模型中提取典型的孔喉結構(直徑143μm,長度400μm的圓柱體,與實驗巖心尺寸比例一致),導入COMSOL Multiphysics軟件以構建基礎模型。最后,通過模擬實驗實時追蹤氣水兩相界面的動態變化,探究氣水兩相滲流特征查明影響氣驅排水效果的關鍵因素,如注入速度、巖石壁面潤濕性、氣水界面張力和出口端壓力等,揭示氣驅排水過程的微觀兩相滲流機理。





