合作客戶/
拜耳公司 |
同濟大學 |
聯合大學 |
美國保潔 |
美國強生 |
瑞士羅氏 |
相關新聞Info
-
> ?SDS、CTAC、APG表面活性劑對磷酸鹽粘結劑表面張力的影響研究
> 固體、鹽溶液表面張力測量及與其在潔凈硅橡膠表面接觸角的關系研究(一)
> 無機粒子對TPAE界面張力、發泡、抗收縮行為的影響(三)
> 表面張力:微觀力場中的宏觀奇跡
> 常見多元醇(乙二醇、甘油、季戊四醇、山梨醇等)在化妝品中的作用
> 石英捕收劑十六烷基氯化吡啶用于褐煤反浮選,濃度多少適宜
> 十二烷基硫酸鈉、水楊酸丁酯流動驅動自推進界面張力和表面流速測量
> 表面張力儀分析氣潤濕反轉劑對緩解煤層水鎖效應、解吸速率影響(二)
> 不同溫度下手性離子液體及二元混合物的密度和表面張力(上)
> 東辛原油酸性活性組分油水界面張力、動態界面擴張流變性質研究(一)
推薦新聞Info
-
> 新型POSS基雜化泡沫穩定劑表面張力測定及對泡沫壓縮性能的影響(三)
> 新型POSS基雜化泡沫穩定劑表面張力測定及對泡沫壓縮性能的影響(二)
> 新型POSS基雜化泡沫穩定劑表面張力測定及對泡沫壓縮性能的影響(一)
> 多功能膜材研發:界面張力已成為整套工藝鏈協同下動態演化的核心控制點
> 不同類型的聚醚類非離子破乳劑對PPG-稀釋原油界面膜性質的影響(下)
> 不同類型的聚醚類非離子破乳劑對PPG-稀釋原油界面膜性質的影響(上)
> 表面張力、XPS試驗研究DDA或TPA在鋰云母表面的吸附機理——試驗結果分析與討論、結論
> 表面張力、XPS試驗研究DDA或TPA在鋰云母表面的吸附機理——試驗原料及研究方法
> 超微量天平應用于珊瑚鍶-鈣溫度計的研究
> ?90%實驗室不知道:表面張力儀讀數誤差的隱秘來源與終極解決方案
連接基對3種表面活性劑GSS271、GSS371和GSS471動態表面性能的影響(下)
來源:印染助劑 瀏覽 861 次 發布時間:2024-12-04
2.2動態表面張力
Rosen等研究DST隨時間變化后給出以下經驗方程:
其中,γ0為溶劑表面張力,γt為表面活性劑溶液t時刻表面張力,γm為介平衡表面張力。n與t*均為常數。
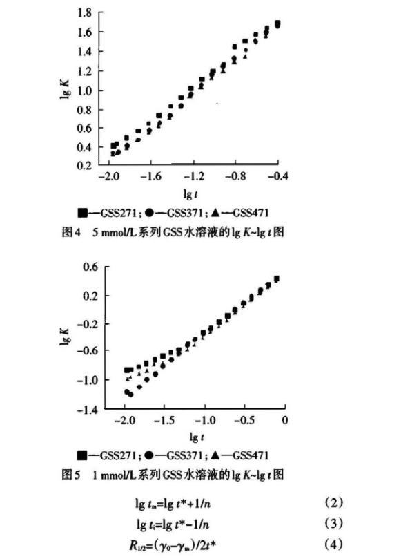
測得的DST數據經公式(1)處理后,令lgK表示lg[(γ0-γt)/(γt-γm)],以lgK對lgt作圖,結果見圖4~5。從直線的斜率與截距可以得到DST的特性參數n與t*值,并可根據公式(2)~(4)進一步得到誘導區結束時間ti、介平衡開始時間tm及t1/2時表面張力下降速率R1/2,結果見表2。
由表2可知,GSS271、GSS371、GSS471的n值基本相同,說明吸附初期(t→0)連接基長度對表面活性劑分子從本體溶液中擴散到面下層的過程影響較小。GSS471的t*最大,反映吸附后期(t→∞)表面活性劑分子從面下層吸附到溶液表面的勢壘最小,這與GSS471柔性連接鏈易彎曲導致兩條疏水鏈間作用增強,更易在表面定向排列有關。GSS271的ti最小,表明誘導區結束的時間最早,R1/2最大表明動態表面活性最好,這與其連接基最短且分子體積較小有關。
以GSS271為例,濃度越高,表面活性劑分子的擴散推動力越大,于氣液界面吸附越快,DST下降越顯著,因而誘導區結束的時間越早,越易達到介平衡,這與γm、ti、tm較小吻合;t*值隨濃度增大而減小,表明吸附后期勢壘隨濃度增大而增大,因為濃度較高時,更多的GSS271分子吸附于表面,由于空間位阻、分子間靜電斥力的影響,阻礙了新的GSS271分子吸附,吸附勢壘變大。濃度高時,R1/2大,動態表面活性好。
在相同濃度下,連接基越短,動態表面活性越好,這與分子體積小、空間位阻小、擴散阻力小有關。
2.3動態吸附模型
表面活性劑分子在新鮮表面上的吸附分兩步進行:(1)分子從本體溶液到次表面的遷移;(2)分子在次表面和表面間的吸附平衡。在動態吸附模型的基礎上提出了兩種主要的動態吸附機理:擴散控制吸附、混合動力控制吸附。
對c<cmc的表面活性劑溶液,Ward和Tordai根據擴散控制機理提出了描述表面吸附動力學的模型:
式中,Γt為t時刻新鮮表面上表面活性劑的吸附量,c0為表面活性劑本體溶液濃度,D為表面活性劑分子擴散系數,cs為次表面層中表面活性劑濃度,τ為虛擬變量。其中前一部分表示分子從體相到面下層的遷移,后一部分表示隨著面下層濃度的增加,分子由面下層擴散回體相。由于反擴散項積分無法計算,對于離子型表面活性劑,Miller等用漸進的方法對Ward-Tordai方程進行了修正:
對于陰離子雙子表面活性劑,n=3,Гeq(平衡時表面吸附量)由平衡時的γ~c曲線經計算機處理得到。對于混合動力控制吸附模型,Liggieri和Raveva引進重整化擴散系數D*,與由方程(7)得到的表觀擴散系數D的關系為:
當εa→0時,D*→D,混合動力控制過程趨近于擴散控制過程?;旌蟿恿^程可看成是存在一定能壘的擴散過程,修正后的方程為:
其中,Da=D*2/D=Dexp(-2εa/RT),當吸附后期為擴散控制吸附時,Da=D。
由式(8)和(9)可以看出:溶液的γt(t→0)與t1/2、γt(t→∞)與t-1/2呈線性關系。以γt分別對t1/2和t-1/2作圖,結果見圖6、7,直線的截距為對應的平衡張力,分子擴散系數可以由直線部分斜率求出,結果見表3。
從表3可知,吸附初期GSS的擴散系數較吸附后期大2~3個數量級。表明GSS分子自本體溶液擴散到次表面的速度遠大于在氣液界面與次表面之間的交換速度,因為在吸附初期(t→0),新鮮表面不存在吸附勢壘,屬擴散控制吸附;吸附后期(t→∞),在氣液界面吸附的GSS分子由于相互作用產生的位能壘、離子頭基間的靜電斥力以及分子的定位重排等共同作用導致了混合動力擴散控制。
在吸附初期,GSS271的擴散系數最大,表明較容易擴散到次表面,這與在相同濃度下Rosen模型處理的n值最小吻合;在吸附后期,GSS471的擴散系數最大,這與其柔性連接鏈扭曲變形而在表面定向排列緊密相關,且與Rosen模型處理的t*值最大吻合。
表3 1 mmol/L系列GSS表面活性劑水溶液的表觀擴散系數
3、結論
(1)GSS471的cmc、γcmc最小,這與其柔性連接鏈易扭曲變形密切相關。
(2)連接基越短,動態表面活性越好。當表面活性劑濃度c>cmc時,動態表面活性高于c<cmc。
(3)當表面活性劑濃度高時,誘導區結束時間早,易達到介平衡,吸附后期勢壘大。
(4)當表面活性劑濃度c<cmc時,GSS表面活性劑在吸附初期為純擴散控制,在吸附后期為混合動力擴散控制。





