合作客戶/
拜耳公司 |
同濟大學 |
聯合大學 |
美國保潔 |
美國強生 |
瑞士羅氏 |
相關新聞Info
-
> 涂料配方設計如何選擇潤濕劑?表面張力成為重要決定因素之一
> 定性分析聚合物界面張力與系統黏度比之間的關系——數值仿真結果、結論
> 鍍錫板與涂料的表面張力不匹配導致印鐵縮孔,怎么解決?
> LB膜制備方法與注意事項
> 不同質量濃度瀝青質溶液界面張力、界面剪切黏度及粒徑分布圖【下】
> 電化鋁燙金燙不上可能和膠粘劑的表面張力有關
> 調控表面粗糙度,新生產的抗縮孔鍍錫板露天72h表面張力為31mN/m
> Langmuir槽法研究不同電性Gemini表面活性劑對界面吸附膜性質的影響(三)
> 槐糖脂的屬性:脂肪酸底物和混合比例的影響——摘要、介紹
> 什么是?LB膜分析儀?LB膜分析儀的工作原理及作用
推薦新聞Info
-
> 超低界面張力環保型高溫高鹽油藏的驅油表面活性劑配方比例及制備(二)
> 超低界面張力環保型高溫高鹽油藏的驅油表面活性劑配方比例及制備(一)
> 表面張力和接觸角的關系|寶玉石接觸角的測量結果和表面張力計算方法(三)
> 表面張力和接觸角的關系|寶玉石接觸角的測量結果和表面張力計算方法(二)
> 表面張力和接觸角的關系|寶玉石接觸角的測量結果和表面張力計算方法(一)
> 表面張力儀系統測定:溫度范圍內甲基九氟丁醚的液相密度與表面張力
> 一套低溫、高壓懸滴法表面張力實驗測量系統實踐效果(三)
> 一套低溫、高壓懸滴法表面張力實驗測量系統實踐效果(二)
> 一套低溫、高壓懸滴法表面張力實驗測量系統實踐效果(一)
> 不同溫度下純有機物液體表面張力估算方法及關聯方程(二)
各種測量ILs汽化焓對比:表面張力法、熱重法、簡單相加法、 基團貢獻法……(二)
來源:化工學報 瀏覽 1443 次 發布時間:2024-08-16
2估算法
2.1有效原子法
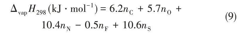
2005年,Kabo等[37]用Knudsen滲流法測出了[C4mim][Tf2N]的蒸氣壓,從而計算得到汽化焓,Kabo等基于有效原子的相加性提出式(9)計算298 K的汽化焓
式中,ni是分子或離子對中第i種原子的數量。
2.2沸點估計法
2005年,Rebelo等[36]將E?tv?s公式應用在ILs上,2006年,Kabo等[40]用這種方法估算了[Cnmim][Tf2N]系列ILs的汽化焓。
已知不同溫度下表面張力的數值,物質的臨界溫度Tc可以通過E?tv?s公式估算
式中,γ是樣品在溫度T下測得的表面張力;V是液體的摩爾體積;Tc是臨界溫度;k是經驗常數。將實驗值γ和V2/3的乘積相對于熱力學溫度T進行線性回歸,并獲得一條直線,從直線和截距的斜率,可以得到k和Tc的值。對于大部分有機液體來說,k大約為2.1×10-7J·K-1,而對于簡單熔鹽,k比較小,NaCl的k≈10-7J·K-1。
Rebelo等[36]認為ILs的沸點Tb可以用Tc估算
雖然Kabo等[40]用這種方法估算了ILs的汽化焓,但是他們認為這些公式是從分子液體中得出的,可能并不適用于ILs,因此他們在之后提出了表面張力法。
2007年,Tong等[68]使用這種方法推導了[C6mim][InCl4](1-甲基-3-己咪唑氯銦)的汽化焓為70.8 kJ·mol-1,小于表面張力法計算得到的ΔvapH298(171.8 kJ·mol-1)。
2.3簡單相加法
2008年,Verevkin[71]開發了一種基于經驗公式的簡單相加法來計算ILs的蒸發焓,該焓被分解為構成元素的主要成分和輔助成分的校正(基于結構上的特殊性,例如CF3基團或環狀結構的存在)
式中,ΔHi是第i種元素的貢獻;ΔHj是第j種元素的貢獻;nj是ILs中第j種結構校正的次數。
使用簡單相加法計算ILs的汽化焓直接簡便,因為它是經驗公式,因此不需要任何實驗輸入或昂貴的計算資源,這是一種獲得ILs熱力學性質的新方法,它將為支持從頭計算程序和分子動力學模擬技術提供有價值的數據,以便在分子基礎上理解ILs的熱力學性質。
2.4基團貢獻法
2012年,Zaitsau等[72]使用石英晶體微量天平法測量了具有相同陽離子1-乙基-3-甲基咪唑[C2mim]+和不同陰離子組成的一系列ILs,揭示了汽化焓和特定的陽離子與陰離子相互作用之間的關系。
在之前的工作中,Verevkin等[71]已經提出了用簡單相加法估算ILs蒸發焓,他們還建立了蒸發焓的經驗基團貢獻方程,盡管簡單,但與所研究流體的實驗結果差異不超過5 kJ·mol-1。在此基礎上,Zaitsau等[73]開發了一種簡單的基團貢獻方法來預測烷基咪唑類ILs的汽化焓,在這個工作中,他們參考了實驗結果和文獻數據,給出了每個基團的貢獻值,可以直接進行加和計算。
ILs的組合方式眾多,可能形成的ILs的數量巨大,因此,開發一種能夠用來預測未合成的ILs的物理化學性質的方法十分重要[73]。這種估算ILs汽化焓的方法簡單方便,廣泛地適用于包含咪唑陽離子的ILs,而可能不適用于其他體系的ILs。
3結論
本文綜述了測量ILs汽化焓的實驗方法和估算方法,估算法簡單方便,得到的汽化焓數據可以作為參考,而實驗法結果可靠,能夠為研究提供更準確的數據。其中,大部分實驗法需要在較高溫度條件下測量ILs的汽化焓,但是有很多ILs熱穩定性差,在高溫下容易分解,因此,對它們而言,用表面張力法來計算它們在298 K處的汽化焓是有必要的,但表面張力法只能計算室溫下的ILs汽化焓,而用其他方法可以得到ILs在沸點附近的汽化焓,這對認識它們的性質更為重要。
總而言之,本文介紹和評價了各種測量ILs汽化焓的方法,簡述其研究思路,并進行比較,有助于研究者選擇合適的方法進行研究。通過對ILs汽化焓的實驗測定,認識到簡單ILs的汽化焓并不高,在100~150 kJ·mol-1之間,這是一個新發現。此外,汽化焓的測定能夠為計算機模擬提供更多的數據,構建精確的分子模型,有助于深入了解ILs的性質,從而預測ILs的行為。從工業上看,汽化焓與物質的蒸餾、吸收、溶解等過程均相關,ILs汽化焓數據的確定有助于將來能夠改進ILs的合成路線,拓展ILs的應用。





